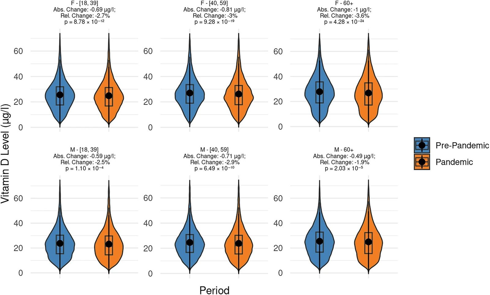
During the COVID-19 pandemic, there was a noticeable decrease in vitamin D levels, particularly among older women and urban residents. Research conducted by LMU epidemiologist Professor Eva Grill and her team revealed this trend using routine laboratory data from over 292,000 patients in Bavaria. The study, recently published in Nature Communications, compared vitamin D levels before and during the pandemic, showing a significant decline in mean serum levels from 26.7 µg/l to 26.0 µg/l, with an increase in deficiency rates from 31.2% to 35.2%.
Lockdowns, remote work, and lifestyle changes were attributed to the reduction in sunlight exposure, leading to lower vitamin D synthesis. The findings were validated using various statistical methods, confirming the decrease in vitamin D levels across different population groups. Notably, elderly women, young adults, and urban residents were most affected by the decline in vitamin D levels.
The study highlighted the importance of vitamin D for bone health and immune function, emphasizing the risks associated with deficiency. Urban areas showed higher deficiency rates compared to rural regions due to factors like limited sunlight exposure and higher pollution levels. Gender-specific differences were also observed, with women experiencing greater decreases in vitamin D levels despite higher supplement usage.
Grill emphasized the value of routine medical data for public health research, citing its potential as an early warning system for tracking trends and risk factors. By integrating laboratory and healthcare data, researchers can monitor changes in nutrient levels and vaccination rates, aiding in data-driven prevention strategies.
In conclusion, the study underscores the impact of the COVID-19 pandemic on vitamin D levels and the importance of monitoring micronutrient status for public health. The findings provide insights into population health trends and highlight the need for targeted interventions to address vitamin D deficiency in vulnerable groups.
